As the name implies a conservative force is a “good, saving” force, while a non-conservative force is a “bad, wasteful” force. The following mathematical definition applies.
|
|
|
(12.1) |
Here, the symbol
means
an integral over a closed path (any path that begins and ends at the same
point; like, but not only, a circle). This definition should read as “
is
a conservative force if its integral over any closed path is zero.” It follows that if a force is
such that its integral over some closed path is non-zero, then that is not a
conservative force, namely, that is a non-conservative force.
Example 1. Show that the gravity (near the surface of the Earth for now; later this will be generalized to anywhere) is a conservative force, as is the spring force.
Solution: From Example 2 of LN 10, the
work done by gravity is given by
for
any path. It follows that then for any closed path, the work done by
gravity is zero, since
for
any closed path. For the spring force, doing like Example 1 of LN 10, the work
done by the spring force on an object connected to it is
.
This is equal to
.
For any closed path,
,
and so the spring force is a conservative force.
Example 2. Show that the kinetic friction (or the static friction for a wheel) is not a conservative force.
Solution: Consider dragging a big piece
of luggage (without wheels – kinetic friction – or with wheels – static
friction) around a circle, starting from one point and coming back to it. The
friction between the luggage and the floor is always opposite to the velocity
of the luggage (and thus opposite to the infinitesimal displacement of the
luggage:
),
and so the work done by the friction is negative for any segment of the
circle. It follows then that the work done by the friction is negative for the
entire circle. [Note that the static (or the rolling)
friction of a wheel is a surprisingly subtle concept. For a full discussion,
see http://samphy6a.blogspot.com/2008/11/pardox-of-frictional-force.html.]
Friction is “not a nice force” in the sense that it never does a positive work on an object. It does only negative or zero work, no matter what. It only takes, without ever giving back! [Where does it “waste” the work? Answer: to the environment as heat.] However, the gravity or the spring force “gives back.” In a portion of a closed path, it may do a negative work on an object, but, if it did, then in the rest portion of the path, it does a positive work that exactly compensates that negative work, so the total work over a closed path is always precisely zero.
For a
conservative force,
,
its potential energy
function
is
defined as:
|
|
|
(12.2) |
As in
Example 2 of LN 10, imagine that you are moving the object very very slowly
(“adiabatically”; thus
)
exactly cancelling the conservative force
(e.g.
gravity or the spring force) with your force =
(for simplicity, assume there is no other force than these two forces). It is
in this sense that the potential energy change is the work done against the
conservative force. Note also that the integral in (12.2) is for any path
connecting two the end points
and
.
Due to the property of the conservative force (12.1),
depends
only on end points
and
.
Lastly, note that (12.2) only defines the difference of
.
Thus, this definition leaves the function
ambiguous
up to an arbitrary offset: if
is
a function that satisfies (12.2), then
also satisfies (12.2) for any constant energy value
. Physically, this means the
following. It does not matter where you take the zero of the potential energy
.
What matters it the change of
.
Just like the absolute value of the velocity, the absolute value of the
potential energy function is absolutely meaningless. For a given problem,
take the zero of the potential energy as conveniently as possible. Of course,
once you choose the zero, you have to stick with it within that problem!
Mathematically, you can say that
is
an indefinite integral, not a definite integral, so it is arbitrary up to a
constant.
Example
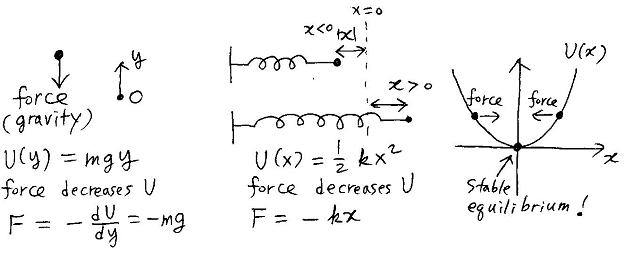
3. Gravitational
potential energy near the surface of the earth.
,
if the
axis
is taken to be pointing up. [cf. Example 7.1 of textbook]
Solution. The gravitational force is
.
Using (12.2), we have
.
So
|
|
|
(12.3) |
up to a constant offset. It is customary, but not required in any way, to take that constant offset to be zero.
Example
4. Elastic
potential energy of a spring. Consider a spring fixed at one end, like
shown in Example 1 of LN 10. Show that
.
[cf. Example 7.2 of textbook]
Solution.
(Hooke’s law). Using (12.2), we have
.
Thus,
|
|
|
(12.4) |
up to a
constant offset. It is customary, but not required in any way, to take that
constant offset to be zero. This equation is also valid when both ends of
the spring are free to move. In that case
should be interpreted as the
change of the distance by which the spring is compressed or elongated compared
to its natural length (cf. LN 08).
Example 7.3 of textbook is optional.
Suppose
that all forces acting on an object are conservative forces. Then, the
mechanical energy of the object, defined as
where
is
the kinetic energy and
is
the potential energy for the
-th force, is conserved. Namely,
for any point 1 (
)
and 2 (
)
of the motion:
|
|
|
(12.5) |
The total mechanical energy
|
|
|
(12.6) |
is an example of a “constant of motion,” something that never changes during the course of the motion, however complicated the motion may be.
The proof
of this conservation principle is very simple. From the work-energy theorem,
,
where
is
the net force =
.
Thus,
.
By assumption, each
is
a conservative force, and so
from
(12.2). Thus, we have
,
which means
,
completing the proof.
Examples 7.4, 7.5, and 7.6 of the textbook should be mastered thoroughly.
|
|
|
(12.7) |
|
|
|
(12.8) |
[If
you are not familiar with the gradient operator (
the 2nd
form), don’t worry. In the following, just replace “gradient” with
“derivative,” and everything will remain valid. We will be dealing with 1D
cases only in 6A, anyway.]
So, in general, a conservative force is given as the negative gradient of the
potential function. Note that the gradient of the potential function is the
direction along which the potential function increases optimally. [What
does this mean? It means the following. At any given point
, consider a very small
circle around it. Consider all possible displacements from
to a point on that
circle. Which displacement makes the function
increase
by the greatest amount? Ans: the displacement vector that has the same direction
as the gradient vector of
at
. Which displacement
makes the function
decrease by the greatest
amount? Ans: the displacement vector that is opposite to the direction of the
gradient vector of
at
.] Since the force points
opposite to the gradient of the potential function, what it means is that a
conservative force is always in the direction to minimize the potential energy
function. This is a very (times 1000) important fact. Note that if the
derivative of
is
zero, then the force is zero. Such a point is called an equilibrium point. It
is a stable equilibrium point if the derivative of
is zero at a minimum point of
. It is an unstable
equilibrium point if the derivative of
is zero at a maximum point of
.


Examples 7.7 of the textbook should be mastered.