Lecture 3

1D Kinematics

 

Example 1: (2.2 of text) The altitude of a space shuttle in the first half-minute of the ascent is given by , with .   The instantaneous velocity at ?  The average velocity between time 0 and ?  Sol:  By differentiation, .  The average velocity,  .  [This answer makes sense.  Since  is a linear function of , it follows that the average velocity is exactly the arithmetic of the initial velocity and the final velocity.  Since the initial velocity is zero, .]

Constant acceleration problem in 1D

Using definitions given in Eqs. (2.2, 2.6), it is possible to obtain  and , given the input .  This process is generally called “integrating the equation of motion.”  Indeed, if  is known, then  is simply the indefinite integral of , and  is the indefinite integral of .  Here, we consider the simplest case when  is constant, just like in the above example.

Good news:  (1)  This problem is easy.  (2)  As you will discover, this simple and easy problem forms the backbone of most of the problems in this course.

When confusions do not arise, physicists tend to re-use certain symbols.  Here we have one such example. We will use the symbol  to mean a constant value of acceleration for much of the course, while you are well advised to remember that  in Eq. (2.6) is, in general, a function of time.

General solutions for  and , given a constant , are

 

(3.1)                      

 

(3.2)                      

Why?  Consider solving  for .  A particular solution is .  The general solution is given by this particular solution plus a constant, which we set to be .  The reason is that , and so the general solution for  has room for an additive constant.  So the solution: .  Then, solving  proceeds similarly.  A particular solution: .  Adding a constant, , we get: .  [This explanation was unnecessary if you are a calculus wizard.]

The following relation is an immediate consequence of the above solution.

 

(3.3)                      

Proof:  From (3.2), we have , the last step using (3.1).

You should remember a more intuitive proof, as follows.  As written, (3.3) is the statement about the average velocity.  The RHS (right hand side) follows directly from the definition (2.1), .  The LHS (left hand side) follows from the fact that  is linear in : in this case, the average velocity is exactly the arithmetic mean of the initial velocity and the final velocity.

Text Box:  You should be able to derive (3.1), (3.2), and (3.3) whenever you need them.  Or, recall them and the derivation of them from your memory. (Although I will give them in a crib sheet in my exams, the less you need to look them up, the better you will be in my exams, or other exams for years to come.)

Also, by eliminating t in (3.1) and (3.3), one can obtain this useful relation: .  [The physics of this relation is the very important “Work-Energy theorem.”  Until we study that theorem, I don’t recommend that you just memorize this relation, while you can use it.  After we study the work-energy theorem, you won’t have to remember this relation – it will just come to you.]

The general solution for  can be visualized as in the right figure.

Example 2: (2.3 of text)  Stopping distance.   Landing a jetliner.  A jetliner touches down at 270 km/h.  It decelerates at 4.5 .  What is the stopping distance ()?  Sol:  Take the  axis so that its origin is at the touch down point and the plane moves in the positive direction.  .  Now, let us define  = time when the plane stops, then at ,  and .  Then,  means  and   km/h and  .  Important: , because  “pushes” the plane to the negative direction of the  axis.   m/s = 75 m/s.  So,  m.  Note that this example is applicable to the problem of stopping a car, in which case the source of  is only the friction between the car and the road.  Since  increases rapidly as  increases (), it is not a good idea to drive fast on a wet day.

Text Box:  Example 3: (2.4 of text)  You drive at 75 km/h (21 m/s), in the 50 km/h zone, and the police car starts from rest to tail you, with acceleration 2.5 .  When the police officer catches you up, how far down the road are we, and how fast is the police car running?  Sol:   (you) and  (police car).   has two solutions:  (initially) and  (catch-up).  At catch-up,  = 3.5E2 m, and  m/s.  The last answer () makes sense since the average velocity should be the same between the two motions.

Free fall

Here “free” means free of other influences than gravity, and “fall” … well, it doesn’t really mean a fall … you best understand it as the motion under the influence of the gravitational pull.  The definition: a free fall is the motion of an object under the influence of gravity alone.

According to this definition, the earth is perpetually free-falling towards the Sun.  This is quite true.  The (nearly) circular motion of the Earth round the Sun is the result of that perpetual free fall.   Of course, apple falling from a tree is also a free fall, if the air resistance is negligible.  [This insight – the equivalence of the apple falling and the Earth going round the Sun – may seem trivial, but the power of this insight brought by Newton, in terms of its influence on physics in general, is beyond description.]  If you toss your baseball up into the air, then the entire motion – including going up and coming down – is a free fall.

Here, we consider free fall motions near the surface of the Earth, so that the constant acceleration applies.  In this case,   is all we need to describe the gravity.  This is the so-called “surface gravity,” the downward acceleration due to the Earth’s pull.  There are two comments about applying (3.1-3) to this free fall problem.  (i) For motion in the vertical direction, we tend to use the symbol  in place of .  (ii) If we take the  axis as pointing up, then , and if we take the  axis is as pointing down, then .  Which choice to take is a matter of convenience.

Example 4.  (2.5 of text)  A diver drops from a 10 m high cliff.  At what speed does he enter the water, and how long is he in the air?  Sol:  It is most convenient to take the  axis as pointing down for this problem with  initially.  Then, .  When he enters the water,   and .  Here,  m is the height of the cliff.  The 2nd equation gives  .  Inserting this to the first equation, .  Evaluating these expressions with  m and  , we get  14 m/s, and  1.4 s.

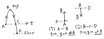
Example 5.  (2.6 of text)  You toss a ball straight up at 7.3 m/s, leaving your hand at 1.5 m above the floor.  Find (1) when it hits the floor, (2) the maximum height it reaches, and (3) its speed when it passes your hand on the way down.

Solution:

This problem is somewhat complicated.  When approached in a straightforward way (as in text), one has to solve a quadratic equation.  That is one way to go.  Here, I present another, more physical, method.  We divide the motion into two parts, (i) going up to the top and (ii) coming down, all the way to the floor.  We treat them separately with completely different coordinate systems.  As shown in the figure, we take the  axis pointing up for (i), and the  axis pointing down for (ii).  Also, note that the zeroes for  and  are taken differently.

For motion (i),  and  .  When the ball reaches the top, , and so the time it reaches the top, let us define it as , is given by .  Thus, .  The height that the ball traveled during  is given by  =  =  [note the similarity to Example 2, the stopping distance problem].   2.72 m (keep one more sig-fig here, because we will re-use this number below).  This gives the answer for (2)  + 1.5 = 4.2 m.

For motion (ii),  and .  It may not surprise you that for the ball to come down by , the time it takes is given by (from the 2nd equation),  =  = !  This gives the answer to (3):  = 7.3 m/s.  The ball is coming down at the same speed as it went up.  [We just proved that the motion up and the motion down are completely symmetric.  Consider it as proving your intuition based on the movie-played-backward trick.]  The total range of motion for motion (ii) is  m and the corresponding time is, from , given by .

The total time for (i) and (ii) is then  =  = 1.7 s, which is the answer to (1).